04
2023.01
必赢化学与化工学院王双寿副教授在国际权威期刊发表食品安全分析最新研究成果
近日,必赢化学与化工学院王双寿副教授在食品安全分析方面取得系列原创性成果,相关工作在国际权威期刊《Journal of Hazardous Materials》和《ACS Applied Materials & Interfaces》发表。《Journal of Hazardous Materials》是生态环境领域一区Top期刊,2022年最新IF为14.224...
06
2022.12
必赢化学与化工学院张奎教授团队在国际权威期刊发表细菌检测最新研究成果
近日,必赢化学与化工学院张奎教授团队在在自然指数(Nature Index)期刊《Analytical Chemistry》上发表快速检测耐甲氧西林金黄色葡萄球菌最新研究成果。《Analytical Chemistry》由美国化学会出版,致力于发表分析化学各支学科具有新颖性及原创性的学术论文,是国际化学界广...
23
2022.11
必赢电气与信息工程学院汪婧博士在国际权威期刊发表强化学习智能控制领域最新研究成果
近日,必赢电气与信息工程学院教师汪婧博士在国际权威会刊《IEEE Transactions on Cybernetics》上发表了强化学习智能控制领域最新研究成果。《IEEE Transactions on Cybernetics》,是中国自动化学会推荐的A类权威期刊(中科院大类一区top期刊,影响因子为19.118),是控制和...
22
2022.11
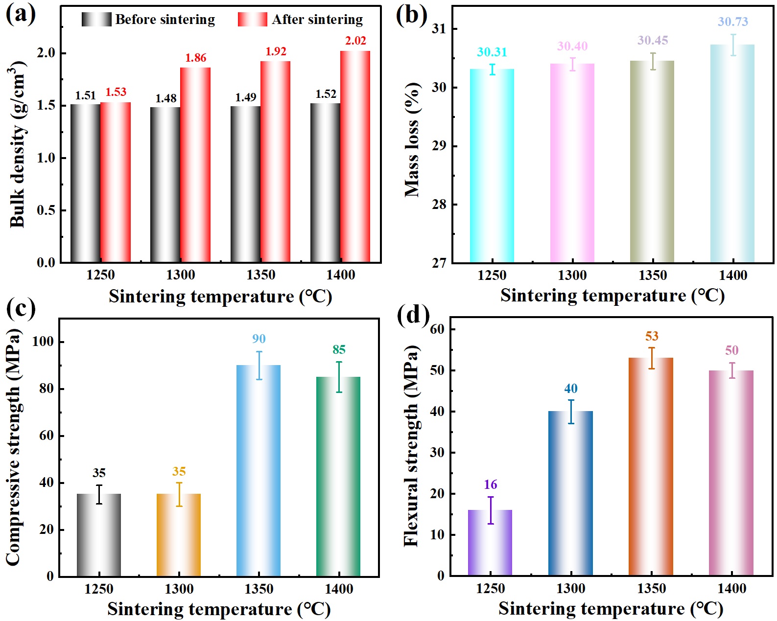
必赢在环境科学与生态学领域国际权威期刊发表污水污泥综合利用最新研究成果
近日,必赢冶金工程学院青年教师张颖异副教授在国际权威期刊《Journal of Cleaner Production》上发表污水污泥制备多孔陶瓷的最新研究成果。《Journal of Cleaner Production》(中科院大类一区Top期刊,影响因子11.072 )是环境科学与生态学领域权威期刊之一,旨在报道环境科...
21
2022.10
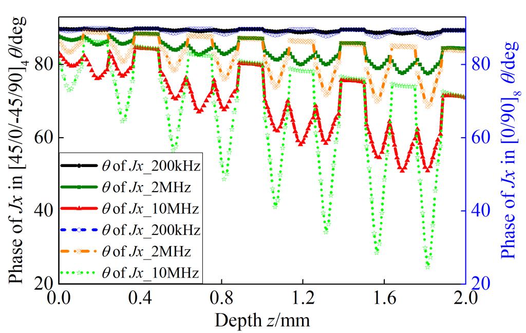
必赢电气与信息工程学院青年教师徐笑娟博士在国际权威期刊发表复合材料涡流检测的最新研究成果
近日,必赢电气与信息工程学院青年教师徐笑娟博士在国际权威期刊《Composite Structures》上发表复合材料涡流检测的最新研究成果。《Composite Structures》(中科院大类一区Top期刊,影响因子6.603)是复合材料研究领域最重要的期刊之一,旨在报道复合材料结构设计、制造与应...
21
2022.09
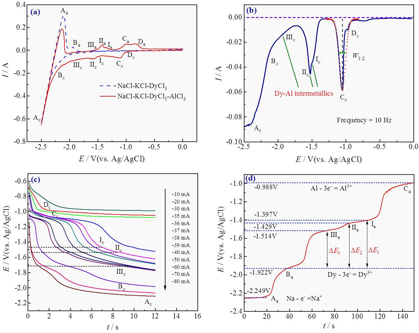
必赢电化学冶金团队在国际权威期刊发表稀土分离最新研究成果
近日,必赢电化学冶金团队在国际权威期刊《Separation and Purification Technology》上发表稀土分离最新研究成果。《Separation and Purification Technology》是工程、环境与化工领域的知名期刊,(中科院一区Top期刊),2022年最新影响因子为9.136。必赢为论文第一单位,冶...