近日,必赢电化学冶金团队在国际权威期刊《Separation and Purification Technology》上发表稀土分离最新研究成果。《Separation and Purification Technology》是工程、环境与化工领域的知名期刊,(中科院一区Top期刊),2022年最新影响因子为9.136。必赢为论文第一单位,冶金工程学院硕士生吴孝彬为论文第一作者,华中胜副教授和赵卓教授为共同通讯作者。研究工作得到了国家重点研发计划青年科学家项目和安徽省自然科学基金项目的资助。
核能作为一种高效、稳定、清洁的能源,现已成为世界能源结构的重要组成部分。随着核能的广泛应用,乏燃料的后处理已经成为制约核能可持续发展的关键问题之一。熔盐电解精炼法因其良好的抗辐射性能,被认为是最具应用前景的乏燃料干法后处理技术之一。因此,研究镧系元素在不同电极上电沉积机制,选择合适的电极材料,对熔盐电解分离锕系和镧系元素,实现核燃料的循环利用具有重要的科学价值和实际意义。

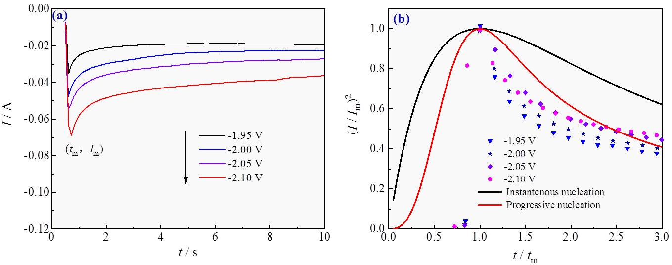
(金属Dy的形核机制)

(Dy(III)与Al(III)共还原的反应机理)

(电解电位对产物物相组成的影响)
本文采用多种暂态电化学测试技术研究了NaCl-KCl共晶盐中Dy(III)在固态钼电极上的电化学行为,以及Dy(III)与Al(III)共还原的反应机理,尝试通过共沉积的方法对镧系元素Dy进行分离。研究发现,Dy(III)在钼电极上的还原是一步转移3电子的准可逆过程,金属Dy沉积过程遵循连续成核模型;而Al(III)的加入则可使Dy(III)发生欠电位沉积形成Dy-Al合金,并且电解电位对所得合金的物相组成有显著影响。本研究为乏燃料中稀土元素的分离提供了一种有效方法,也为熔盐电解法制备稀土铝合金提供了技术参考。
论文链接:https://www.sciencedirect.com/science/article/pii/S1383586622016239
(撰稿:华中胜 审核:王海川 张苒 杜飞)