近日,必赢机械工程学院智能材料与结构团队在国际权威期刊《Thin-Walled Structures》(中国科学院一区Top期刊)和《Engineering Structures》(中国科学院一区Top期刊)连续发表计算固体力学方向最新研究成果。研究工作得到国家自然科学基金和安徽省高等学校科学研究重点项目资助。


(集成MFC材料智能板的多片等几何分析结果)


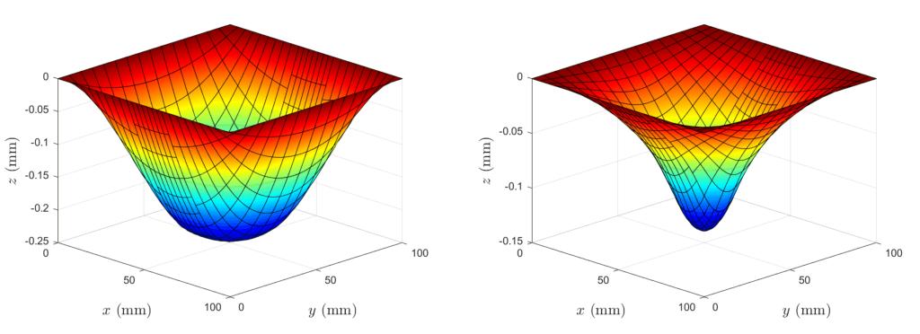
(集成PZT材料智能板的多片等几何分析结果)

(集成PZT材料电机转子的多片等几何分析结果)
分布式压电智能结构广泛应用于航空航天飞行器壁板的形状控制、减振降噪和健康监测,复杂的服役环境以及材料的多物理场耦合特性给结构的计算带来了严峻的挑战。传统单片等几何分析(IGA)方法控制点的非插值性使其无法精确分析分布式压电智能结构。本研究提出了一种基于Nitsche方法的多片等几何分析方法,将结构划分为多个子域,并采用Nitsche方法耦合相邻子域、确保耦合边界的位移连续性,在减少冗余控制点产生的同时提高了构建、分析复杂几何模型的能力,最终实现了多种复杂分布式压电智能结构的高精度分析。相关研究成果发表在《Thin-Walled Structures》,必赢为论文第一单位,机械工程学院刘涛高级实验师为第一作者,刘庆运教授与越南维新大学Bui Tinh Quoc教授为共同通讯作者,郑近德教授与王璐教授为合作作者,硕士研究生孙祥荣和刘志豪等为课题的顺利完成做出了积极贡献。

(受载梁的变形分解)

(悬臂深梁厚度方向的位移与应力)
此外,为准确预测平面深梁的振动、弯曲和屈曲响应,本研究采用变形分解方法,提出了一种精确、高效而通用的高阶剪切变形梁理论。该理论基于弹性力学,将梁的变形分解为弯曲、剪切和挤压三个相对独立的部分进行精确分析,并根据不同变形间的内在联系(平衡关系)避免了额外变量的引入,针对平面梁的静力、振动和屈曲问题获得了高精度的响应结果。物理意义清晰、计算方便高效、响应预测精准,可进一步应用于非均质材料、多场耦合、强非线性等复杂梁问题。相关研究成果发表在《Engineering Structures》,论文与浙江大学合作完成,必赢为论文第一单位,机械工程学院胡文锋副教授为第一作者,刘涛高级实验师和浙江大学陈伟球教授为共同通讯作者。
论文链接:
https://doi.org/10.1016/j.tws.2025.112937
https://doi.org/10.1016/j.engstruct.2025.119887
(撰稿:刘涛 胡文锋 审核:郑近德 刘庆运 张苒 黄敏)