近日,必赢工程研究院于伟彬博士在国际权威期刊《Inorganic Chemistry Frontiers》发表金属有机笼的最新研究成果。《Inorganic Chemistry Frontiers》是中科院一区Top期刊,是无机化学交叉学科研究领域的权威期刊。必赢为论文唯一单位,2021级硕士研究生马慧荣为论文第一作者,工程研究院教师于伟彬博士为论文通讯作者,教师孙魄博士为共同通讯作者。研究工作得到了安徽省自然科学基金等项目的支持。

((1)有机合成过程中硝基甲烷的前期活化生成NO2形成硝基配合物
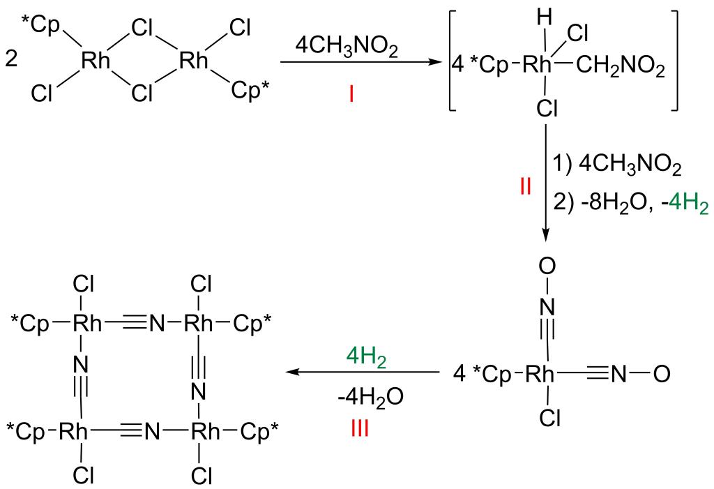
(2)硝基甲烷催化活化成CN-生成PB类似物)
鉴于腈化物广泛存在于各种天然产物、农用化学品、次生代谢物和活性药物成分中,它们在N-杂环、羰基化合物和胺类似物的合成中扮演着关键的中间体角色。因此,开发一种高效的合成氰化物策略一直是化学家们研究的热点之一。氰化氢是一种剧毒和危险的试剂,通常用于引入CN基团,由于其严重的毒性和致命性,探索替代的、无毒的、不含金属的氰化物基试剂是非常必要的。近几十年来,一些非氰化试剂,如二甲基亚砜和尿素已被引入氰化反应中,尽管这些氰化物衍生物很容易获得,但在合成中的使用却很少见。只有少数几个例子证明了硝基甲烷的解离可以产生CN基团,并涉及到C-H键的官能化反应,其中需要金属催化剂的存在。然而,在催化过程中产生的中间体:Metal-CN尚未在C-H官能团反应中获得。

(硝基甲烷活化形成有机金属大环1、分子夹2和金属笼3的合成路线)
(化合物1-3在固体状态下的单晶结构)
团队提出了一种新颖而温和的方法,将硝基甲烷转化为腈根,具有温和的反应条件和简单易行的合成方法。同时,通过调控不同当量的AgOTf,可以得到不同几何构型的金属有机化合物,包括四核金属有机大环和六核金属有机笼。团队对该反应的机理进行了系统的探索,揭示了[Cp*RhCl2]2在硝基甲烷活化反应中的重要作用。为了验证机理的合理性,采用了原位拉曼和原位红外光谱等表征手段,结果证实了该反应机理。为了提供全面的表征,运用了核磁共振波谱、原位光谱和高分辨质谱等技术,并辅以详细的单晶X射线衍射结构分析。

(硝基甲烷活化形成金属环和金属笼的反应机理)
(室温时,[Cp*RhCl2]2存在下硝基甲烷活化反应的原位拉曼光谱)
在金属催化剂的作用下,硝基甲烷通常会分解成硝基,从而生成硝基金属化合物。例如,使用(Mediimine)Pd(NO2)2催化剂可以将硝基甲烷分解成[Pd](NO2)2配合物。需要注意的是:1)在金属催化剂存在的情况下,目前尚未有关硝基甲烷直接分解成氰根以生成普鲁士蓝(PB)类似物的研究报道;2)基于半夹心结构的PB类似物通常是使用具有剧毒性质的氰化物合成的。本研究提出了一种简单便捷的合成氰化物途径:利用易于合成的[Cp*RhCl2]2催化剂活化硝基甲烷,从而构筑类似普鲁士蓝的金属有机笼。该策略克服了过去形成腈化物所需的苛刻条件,揭示了一种新的硝基甲烷活化机制,即在生成腈根的同时原位组装金属有机笼,期待在未来的合成化学中得到广泛应用。
论文链接:https://pubs.rsc.org/en/content/articlepdf/2024/QI/D4QI00343H?page=search
(撰稿:于伟彬 审核:蔡征宇 张立强 王璐 张苒 黄敏)