近日,必赢机械工程学院郑近德教授团队在国际权威期刊《Mechanical Systems and Signal Processing》和《Information Sciences》发表机械故障诊断与智能运维方面最新研究成果。《Mechanical Systems and Signal Processing》是机械故障诊断领域国际权威期刊(中科院一区Top期刊,影响因子8.934)。必赢为论文第一单位,郑近德教授为第一作者,2020级硕士生应万明为第二作者,加拿大英属哥伦比亚大学(UBC)Feng Ke博士为通讯作者。《Information Sciences》是信息系统领域顶级期刊(校高水平A类、中科院一区Top期刊,影响因子8.233)。必赢为论文第一单位,潘海洋博士为论文第一作者,2020级研究生徐海锋为第二作者,郑近德教授为通讯作者。上述研究成果得到了国家自然科学基金、安徽省高校杰出青年基金、省属高校领军骨干人才项目和安徽省自然科学基金等项目资助。

(所提HHSSA故障诊断方法基本步骤)

(基于所提HHSSA方法的故障诊断结果)
设备健康监测与故障诊断是保证机械装备安全可靠运行的重要手段。本研究通过搭建双层分解结构,将传统希尔伯特谱分析拓展到包含幅值调制信息的高维表示,更清晰直观地揭示了故障信号内部非线性耦合关系。所提出的幅值调制边际谱方法克服了传统傅里叶分析的周期性和平稳性假设,减少了无关谐波的干扰,更便于故障特征信息的获取,并通过理论建模、模拟实验台数据及实测故障数据验证了所提方法的有效性和噪声鲁棒性。研究内容丰富了机械非线性和非平稳故障信息表征,为机械装备及部件故障定位提供了新的解决方案。

(所提NPBSMM智能诊断方法流程图)

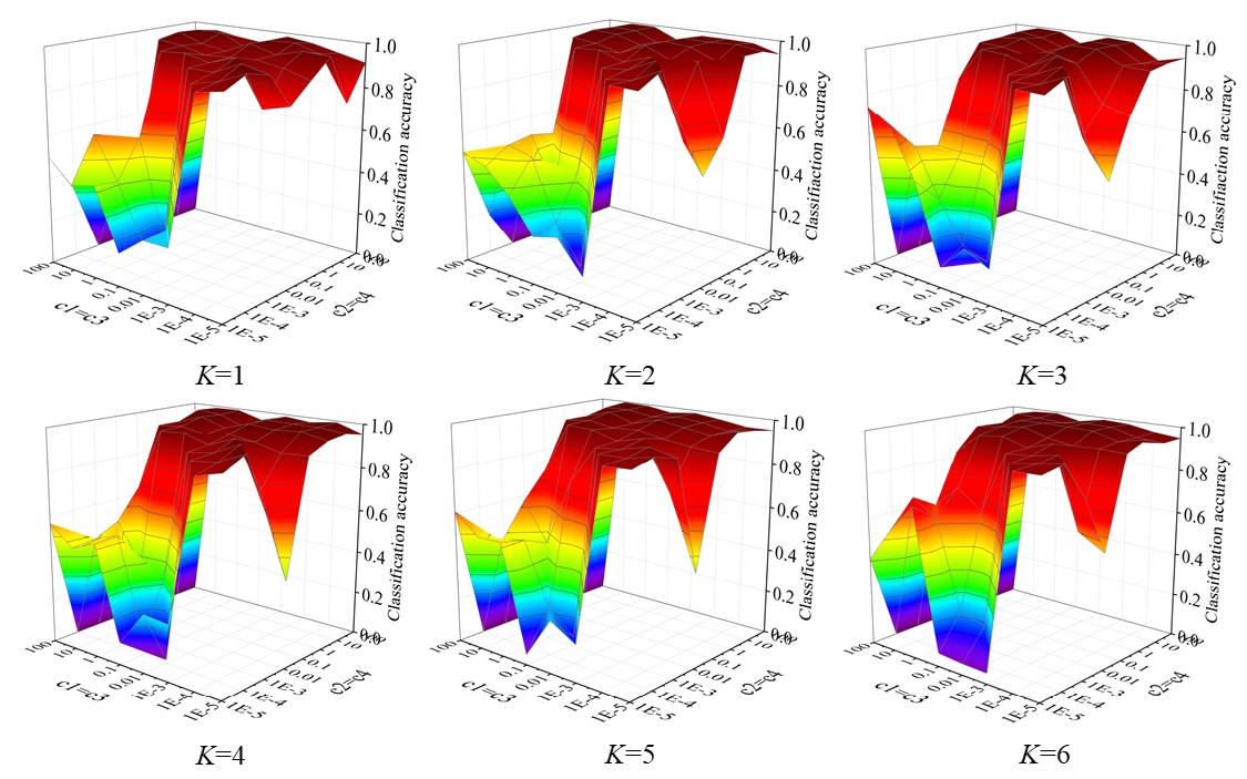
(不同参数下所提NPBSMM方法的诊断结果)
设备故障特征提取与智能识别是故障诊断的关键步骤。本研究提出了一种基于矩阵数据的智能识别方法——非平行有界支持矩阵机(NPBSMM),通过构造一对约束范数组并将其应用于模型,不仅抑制了异常特征对模型的负面影响,同时提高了NPBSMM的稀疏性;采用多秩左右投影矩阵建立目标函数,不仅能够有效地提取矩阵隐藏的结构化信息,同时能够提高NPBSMM的拟合能力和鲁棒性。本研究从噪声鲁棒性、模型效率及大规模数据等方面综合考量和验证了模型性能,为机械装备及其关键部件故障智能识别与诊断提供新思路。
论文链接:https://doi.org/10.1016/j.ins.2022.12.090
https://doi.org/10.1016/j.ymssp.2022.110069
(撰稿:潘海洋 审核:刘庆运 张苒 杜飞)