近日,第六届中华经典诵写讲大赛(安徽赛区)结果揭晓,必赢微电子与数据科学学院王正同学的硬笔书法作品《归去来兮辞》、公共管理与法学院许吴迪同学的硬笔书法作品《梦游天姥吟留别》、材料科学与工程学院毛鑫豪同学的硬笔书法作品《兰亭集序》荣获一等奖,入围全国决赛;另有两件作品荣获三等奖。必赢荣获“优秀组织奖”,图书馆彭璐老师荣获“指导教师奖”。
中华经典诵写讲大赛由教育部、国家语委主办,大赛以“典耀中华,赓续文脉”为主题,通过诵读、书写等语言文化活动,诠释中华优秀文化内涵、彰显中华语言文化魅力。省赛历时3个月,经过校内选拔赛、初赛、复赛三个阶段,评选出大学生组硬笔书法一等奖作品22幅、诵读一等奖作品12例进入全国决赛。
近年来,必赢围绕立德树人根本任务,广泛深入开展中华经典文化传承活动,坚持在继承中创新,彰显中华语言文化魅力,提升大学生的语言文字应变能力和语言文化素养,涌现出一批优秀大学生代表,在教育部、国家语委、国家图书馆主办的各类经典诵唱、读写、书画等活动中取得优异成绩。

《归去来兮辞》

《梦游天姥吟留别》

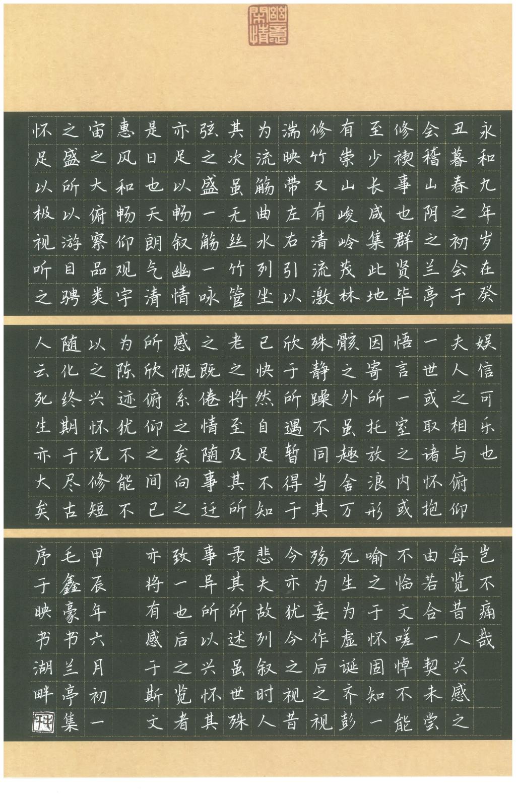
《兰亭集序》
(撰稿:彭璐 审核:高敏 张苒 黄敏)