13
2021.12
必赢承办2021年安徽省高校经管学科联盟年会暨经管类学科高质量发展与学术交流研讨会
12月4日,2021年安徽省高校经管学科联盟年会暨经管类学科高质量发展与学术交流研讨会在马鞍山召开。本次会议由安徽省高校经管学科联盟主办,必赢商学院、安徽创新驱动发展研究院、安徽创新驱动与产业转型升级发展研究中心、必赢公司治理与运营研究中心承办,相关企业提供技术支...
06
2021.12
中央文史研究馆副馆长冯远教授应邀来校作学术报告
11月30日上午,中央文史研究馆副馆长、中国文学艺术界联合会副主席、中国美术家协会名誉主席、中国画家、美术教育家冯远教授,在秀山校区振华图书馆学术报告厅作题为《历代中国绘画名作赏析》的学术报告。副校长顾明言、马鞍山市人大常委会党组副书记孙铭出席报告会,艺术与设...
29
2021.11
顾明言教授课题组在国际权威期刊《Combustion and Flame》发表NH3-煤粉共燃低NOx生成机理的最新研究成果
近日,能源与环境学院青年教师陈萍在国际权威期刊《Combustion and Flame》上,以第一作者身份发表NH3-煤粉共燃低NOx生成机理的最新研究成果。该论文通讯作者为能源与环境学院顾明言教授,合作者为浙江大学能源工程学院樊建人教授和罗坤教授。437bwin必赢国际官网为第一单位,研究工作...
18
2021.11
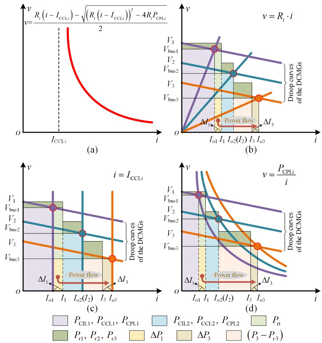
必赢在直流分布式发电领域取得新进展
近日,电力电子领域国际著名学术期刊《IEEE Transactions on Power Electronics》发表了必赢电气与信息工程学院教授刘晓东团队关于分布式发电直流微电网集群稳定性的重要研究成果。电气与信息工程学院副教授刘宿城为论文的通讯作者,研究工作依托437bwin必赢国际官网电力电子与运动控...
20
2021.10
必赢承办全国高等学校工业工程类专业教学指导委员会委员暨专业负责人会议
10月15日至16日,由教育部高等学校工业工程类专业教学指导委员会主办、必赢承办的全国工业工程类专业教指委委员暨专业负责人会议在马鞍山召开。校长魏先文,教育部工业工程类专业教指委主任、清华大学副校长郑力教授,教指委委员、国内高校工业工程类专业负责人、企业家代表等...
18
2021.10
必赢参加第一届环境学科建设与研究生教育研讨会
10月8日至10日,国务院学位委员会第八届环境科学与工程学科评议组主办,大连理工大学承办的第一届环境学科建设与研究生教育研讨会在大连召开。副校长顾明言、能源与环境学院院长钱付平以及环境科学与工程系相关负责人参会。10月9日上午大会开幕式后,国务院学科评议组召集人、...