27
2025.02
必赢化学与化工学院晶态多孔框架材料创新团队在国际权威期刊发表机械互锁配位超分子合成最新研究成果
近日,必赢化学与化工学院晶态多孔框架材料创新团队单威龙副教授在国际权威期刊《Angewandte Chemie International Edition》上发表机械互锁配位超分子设计合成最新研究进展。《Angewandte Chemie International Edition》是全球化学研究领域最具影响力的学术期刊之一,主要收...
27
2025.02
必赢材料科学与工程学院张世宏教授团队在国际权威期刊发表关键合金部件表面腐蚀防护涂层的最新研究成果
近日,必赢先进金属材料绿色制备与表面技术教育部重点实验室张世宏教授团队在腐蚀领域国际权威期刊《Corrosion Science》发表钨铜合金表面耐腐蚀防护涂层最新研究成果。《Corrosion Science》是中科院一区Top期刊,主要收录材料腐蚀与防护相关基础和应用研究的最新成果,是材料...
24
2025.02
必赢材料科学与工程学院汪冬红资格教授在国际权威期刊发表硝基化有机电极材料水系锌电池应用最新研究成果
近日,必赢材料科学与工程学院汪冬红资格教授和化学与化工学院朱磊博士在国际顶尖化学类期刊《Chemical Science》(中国科学院一区Top期刊)发表硝基化改善水系锌电池有机正极增强机制研究最新成果,在国际顶级期刊《Advanced Functional Materials》(中国科学院一区TOP期刊)...
24
2025.02
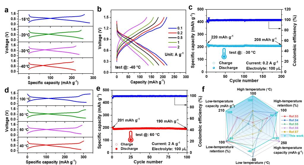
必赢材料科学与工程学院先进电池材料团队在国际权威期刊发表锌离子电池最新研究成果
近日,必赢材料科学与工程学院先进电池材料团队与复旦大学合作在国际顶级期刊《Angewandte Chemie International Edition》上发表水系锌离子电池最新研究进展。《Angewandte Chemie International Edition》是全球化学研究领域最具影响力的学术期刊之一,主要收录在化学、材料...
23
2025.01
必赢建筑工程学院丁磊教授团队在国际权威期刊发表类芬顿催化降解水中新污染物领域最新研究成果
近日,必赢建筑工程学院丁磊教授团队在国际权威期刊《Applied Catalysis B: Environment and Energy》(中国科学院一区Top期刊,影响因子20.3)发表类芬顿催化降解水中新污染物领域最新研究成果。必赢为论文第一完成单位,能源与环境学院硕士研究生武文龙为论文第一作者,建筑...
04
2025.01
必赢曾杰教授领衔的联合研发团队在国际顶级期刊发表锌-空气电池领域最新研究成果
近日,必赢曾杰教授领衔的联合研发团队与中国科学技术大学合作,揭示了一种通过界面锚定策略精准调控单原子之间距离的通用方法,通过该方法构筑的近邻单原子铁催化剂在锌-空气电池中表现出超越贵金属铂的性能。相关成果发表在国际顶级期刊《Nature Communications》上,必赢为...